portal.tpu.ru
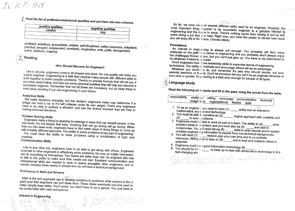
Admissions
Students
Staff
Alumni
Mass media
www.tpu.ru
ОСНОВНЫЕ РАЗДЕЛЫ:
- Основные разделы -
Переход на дистанционную форму обучения
Структура университета
Образование
Наука и инновации
Сотрудничество
Финансово-экономическая деятельность
Работа с персоналом
Цифровизация
Режим и безопасность
Управление кампусом
Политика обработки персональных данных
Программное обеспечение, установленное в аудиториях ТПУ
О центре
Сотрудники
Учебные материалы для преподавателей
Учебные материалы для студентов
Ресурсное обеспечение языкового центра
Методическая шкатулка для студентов
Интерактивные задания для студентов 1 курса
Фото
Контакты
Кафедра ИЯ ФТИ
ПОИСК ПО ПОРТАЛУ:
09.04.2012
1 и 2 курс
( 298 Кб )
15.11.2012
0А15/0А16
( 195 Кб )
15.03.2013
Интенет Олимпиада
( 854 Кб )
Главная
> ФГАОУ ВО НИ ТПУ > Ректорат >
ИЯТШ
> Учебные материалы для студентов СТАРЫЙ
Ресурсный центр языковой подготовки
ОСЕНЬ 2012-ОСЕНЬ 2013-ВЕСНА 2014
Новая вкладка
ИНФОРМАЦИЯ ДЛЯ ВСЕХ СТУДЕНТОВ
Интернет_Олимпиада_Томск_Украина
Интернет_Олимпиада
Обязательная online регистрация для 1 курса,участвующих в тестировании по иностранному языку в формате единого Прогресс-теста
Панамарева А.Н.
Ермакова Я.В.
Шайкина О.И.
Зяблова Н.Н.
Демьяненко Н.В.
Кабрышева О.П.
Данейкина Н.В.
Кузнецова А.А.
Мыльникова Т.С.
Новикова Н.Г.
Смирнова У.А.
Парнюгин А.С.
Толбанова Р.И.
Фалькович Ю.В.
Лелюшкина К.С.
Сыса Е.А.
Верхотурова В.В.
Цепилова А.В.
Петрашова Т.Г.
Попова С.Н.
Александров О.А.
Криворотова К.В.
Горюнова Е. С.
Прохорец Е.К.
Шиц Ю.Н.
Хлямова О.Е.
1
2
3
4
5
6
7
8
9
10
11
12
13
14
15
16
17
18
19
20
21
22
23
24
25
26
Новая вкладка
Новикова Н.Г.
30.08.2012
2 курс
08.10.2012
0411/0412,0711/0712
0411/0412,0711/0712
0411/0412,0711/0712
13.02.2013
2 курс
2 курс
10.04.13
2 курс
2 курс
3 курс
3 курс
30.09.13
0A34/0A35/0В31|0Д31
0A34/0A35/0Б31|0Д31
20.11.13
0721/0722
0721/0722
28.02.2014
2 курс
2 курс
2 курс
2 курс
2 курс
2 курс
16.04.2014
3 курс
3 курс
3 курс
3 курс
3 курс
12.10.2012
3 курс
15.02.2013
0411/0412
0411/0412
22.04.13
2 курс
2 курс
2 курс
2 курс
03.10.2013
2 курс
2 курс
2 курс
2 курс
0731|0732
0731|0732
0731|0732
0731|0732
26.11.13
0721/0722
0721/0722
0721/0722
0721/0722
0Б31/0Д31/0А34/0А35/0731/0732
0Б31/0Д31/0А34/0А35/0731/0732
0Б31/0Д31/0А34/0А35/0731/0732
0Б31/0Д31/0А34/0А35/0731/0732
03.03.2014
2 курс
18.04.2014
0721/0722
0721/0722
0721/0722
0721/0722
0Б31/0Д31/0А31/0А32/0А33/0731/0732
0Б31/0Д31/0А31/0А32/0А33/0731/0732
0731/0732
15.10.2012
2 курс
2 курс
2 курс
2 курс
19.02.2013
3 курс
3 курс
3 курс
3 курс
23.04.13
3 курс
3 курс
3 курс
3 курс
3 курс
3 курс
04.10.2013
0Б31/0Д31/0А34/0А35
0А34/0А35
0А34/0А35
0А34/0А35
2.12.13
0Б31/0Д31/0А34/0А35/0731/0732
04.03.2014
1 курс
1 курс
21.04.2014
2 курс
2 курс
07.09.2012
2 курс
24.10.2012
2 курс
2 курс
2 курс
20.02.2013
0411/0412,0711/0712
0411/0412,0711/0712
29.04.13
2 курс
07.10.2013
1 курс
1 курс
3 курс
3 курс
3.12.13
1 курс
1 курс
13.03.2014
2 курс
2 курс
25.04.2014
2 курс
2 курс
2 курс
12.09.2012
2 курс
4 курс
4 курс
29.10.2012
2 курс
2 курс
01.03.2013
2 курс
2 курс
2 курс
08.05.13
3 курс
3 курс
2 курс
2 курс
2 курс
2 курс
2 курс
2 курс
09.10.2013
4 курс
4 курс
4 курс
4 курс
4 курс
05.12.13
0731/0732
0731/0732
14.03.2014
2 курс
2 курс
28.04.2014
3 курс
1 курс
1 курс
13.09.2012
3 курс
3 курс
3 курс
09.11.2012
2 курс
2 курс
2 курс
04.03.2013
2 курс
2 курс
2 курс
16.05.13
3 курс
3 курс
3 курс
3 курс
2 курс
2 курс
11.10.2013
0Б31/0Д31/0А34/0А35
0Б31/0Д31/0А34/0А35
0Б31/0Д31/0А34/0А35
0Б31/0Д31/0А34/0А35
06.12.13
1 курс
1 курс
1 курс
17.03.2014
2 курс
2 курс
2 курс
30.04.2014
3 курс
3 курс
13.03.13
0411/0412 0711/12
0411/0412 0711/12
02.09.13
3 курс
3 курс
14.10.2013
0A34/0A35/0Б31|0Д31
0A34/0A35/0Б31|0Д31
0A34/0A35/0Б31|0Д31
10.12.13
1 курс
2 курс
2 курс
2 курс
2 курс
2 курс
18.03.2014
1 курс
1 курс
06.05.2014
1 курс
1 курс
1 курс
14.09.2012
2 курс
14.11.2012
2 курс
2 курс
18.03.13
2 курс
2 курс
2 курс
2 курс
2 курс
2 курс
2 курс
04.09.13
4 курс
4 курс
4 курс
17.10.13
2 курс
2 курс
2 курс
2 курс
10.02.14
1 курс
1 курс
1 курс
1 курс
19.03.2014
0A31/0A32|0A33
0A31/0A32|0A33
0A31/0A32|0A33
0A31/0A32|0A33
0A31/0A32|0A33
14.05.2014
1 курс
1 курс
17.09.2012
2 курс
2 курс
21.11.2012
2 курс
2 курс
20.03.13
3 курс
3 курс
09.09.13
0A34/0A35/0В31|0Д31
0A34/0A35/0В31|0Д31
0A34/0A35/0В31|0Д31
0A34/0A35/0В31|0Д31
3 курс
3 курс
18.10.13
0Б31/0Д31/0А34/0А35
13.02.2014
3 курс
3 курс
3 курс
3 курс
3 курс
2 курс
2 курс
2 курс
2 курс
2 курс
2 курс
2 курс
20.03.2014
0A34/0A35/0731/0732
0A34/0A35/0731/0732
0A34/0A35/0731/0732
0731/0732
19.05.2014
0731/0732
0731/0732
0721/0722
21.09.2012
4 курс.Подгруппа 2
4 курс.Подгруппа 2
4 курс.Подгруппа 1
4 курс.Подгруппа 1
4 курс.Подгруппа 1
4 курс.Подгруппа 1
4 курс.Подгруппа 1
4 курс.Подгруппа 1
22.11.2012
2 курс
2 курс
26.03.13
3 курс
3 курс
10.09.13
0731|0732|0431|0432
0731|0732|0431|0432
21.10.2013
0Б31/0Д31/0А34/0А35/0731/0732
0Б31/0Д31/0А34/0А35/0731/0732
0Б31/0Д31/0А34/0А35/0731/0732
0Б31/0Д31/0А34/0А35/0731/0732
17.02.2014
2 курс
2 курс
21.03.2014
0A31/0A32/0A33/0Б31/0Д31
0A31/0A32/0A33/0Б31/0Д31
21.05.2014
1 курс
0731/0732
26.09.2012
2 курс
2 курс
26.11.2012
2 курс
2 курс
2 курс
2 курс
27.03.13
2 курс
2 курс
2 курс
2 курс
2 курс
11.09.13
4 курс
4 курс
05.11.2013
0721/0722
0721/0722
0721/0722
0731/0732
0731/0732
0731/0732
0731/0732
18.02.2014
1 курс
1 курс
1 курс
1 курс
31.03.2014
2 курс
2 курс
22.05.2014
0731/0732
0731/0732
01.10.2012
2 курс
2 курс
05.12.2012
2 курс
2 курс
2 курс
01.04.2013
2 курс
2 курс
2 курс
12.09.13
1 курс
08.11.2013
1 курс
1 курс
1 курс
1 курс
4 курс
4 курс
4 курс
4 курс
4 курс
19.02.2014
1 курс
3 курс
3 курс
1.04.2014
0731/0732/0Б31/0Д31
0731/0732/0Б31/0Д31
26.05.2014
2 курс
0A34/0A35
13.09.13
0Б31/0Д31; 0А34/0А35
0Б31/0Д31; 0А34/0А35
0Б31/0Д31; 0А34/0А35
0Б31/0Д31; 0А34/0А35
11.11.13
1 курс
1 курс
21.02.2014
1 курс
4.04.2014
1 курс
2 курс
2 курс
2 курс
2 курс
2 курс
27.05.2014
1 курс
1 курс
0В31/0Д31
05.10.2012
2 курс
2 курс
10.12.2012
2 курс
2 курс
2 курс
2 курс
05.04.13
2 курс
2 курс
16.09.13
2 курс
2 курс
2 курс
2 курс
2 курс
2 курс
2 курс
0A34/0A35/0Б31|0Д31
0A34/0A35/0Б31|0Д31
15.11.13
2 курс
2 курс
24.02.2014
2 курс
2 курс
0А34/0А35
0А34/0А35
7.04.2014
0731/0732
0731/0732
0731/0732
17.10.2012
0А11/12/13
0А11/12/13
0А11/12/13
12.02.2013
2 курс
2 курс
09.04.13
2 курс
2 курс
2 курс
26.09.13
1 курс
1 курс
1 курс
1 курс
19.11.13
0731/0732
0731/0732
27.02.2014
4 курс
4 курс
14.04.2014
4 курс
4 курс
4 курс
0A34/0A35/0731/0732
0A34/0A35/0731/0732
0A34/0A35/0731/0732
0A34/0A35
0721/0722
0721/0722
Login
Сегодня
19 октября 2025 / Sunday / Неделя четная
Расписание
2011 ©
Томский политехнический университет
При полном или частичном использовании текстовых и графических материалов с сайта ссылка на портал ТПУ обязательна